2022春 《应用随机过程》
对象: 数学色控
高年级本科生
时间: 周二12节(每周)周四34节(双周)
地点: 二教404
答疑时间:周三15:00-17:00,可以通过电子邮件提问
[email protected]
教材: 《应用随机过程》, 钱敏平龚光鲁陈大岳章复熹编,高等教育出版社
期终考试
2021春 《概率论》(实验班 )
对象: 数学色控
二年级本科生
时间: 周二34节(每周)周四56节(单周)
地点: 理教317
答疑时间:周三15:00-17:00,可以通过电子邮件提问
[email protected]
教材: 《概率论基础》第三版, 李贤平编,高等教育出版社
期终考试 6月21日 晚上6点半 二教420
作业:
3月10日:P58,
15, 22, 23, 31, 32, 35, 37, 38, 41, 42
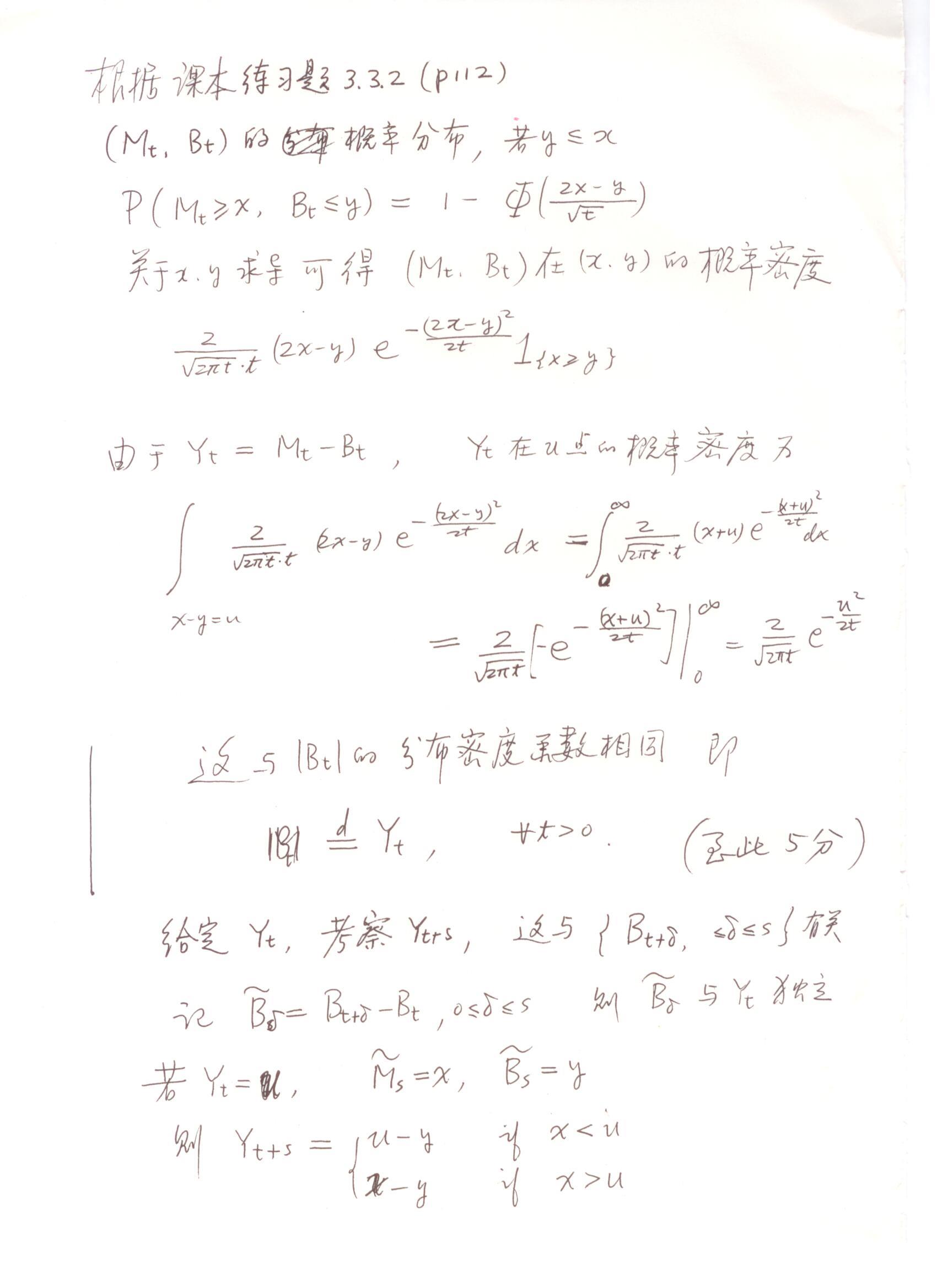
3月16日: P111, 3, 4,
5, 7, 11, 16, 18,
21
3月23日: p114, 29, 33,
34, 46, 49,
50
3月30日: p178 1, 5,
8, 9, 10, 11, 13, 14
4月6日:
p180, 18, 19, 20, 21, 26, 32, 35,
37
4月13日; p183, 43
48
P273, 5, 6, 7, 8, 11, 15, 16
4月27日 期中考试
5月4日 P274, 22 24
26 28 30
31 33 41 43
44
5月11日 34 35 36 37 45 47 49 53 60
5月18日 3 5 7 9 11 13 15 17
5月25日 19 20
21 22 24
25 27 31
6月1日 34 35 39 52
53 54 56 57
6月7日 44 45 48 50 59
-------------------------------------------
2020春 《概率论》(实验班 )
对象: 数学色控
二年级本科生
时间: 周二34节(每周)周四56节(单周)
地点: 二教421
答疑时间: TBA 目前可以通过电子邮件提问
[email protected]
教材: 《概率论基础》第三版, 李贤平编,高等教育出版社
助教: 刘思雨
考试时间地点 9月14日18:30-20:30 二教102
参考书(排名不分先后):
Elementary probability theory with
stochastic processes by Kai Lai Chung,1975 Springer
Elementary Probability for
Applications, by Richard Durrett
伊藤清 概率论, 1944年初版,2004年再版,2011年闫理坦翻译,人民邮电出版社
Probability: an introduction by
Grimmett, Geoffrey;
Welsh, D. J. A
Probability and random processes
著者 Grimmett,
Geoffrey; Stirzaker, David
One thousand exercises in
probability 著者 Grimmett,
Geoffrey; Stirzaker, David
Probability with Martingales by
Davis Williams, Cambridge Mathematical Textbooks 世界图书出版社 2008
Probability via Expectation,
3rd ed. By Peter Whittle, Springer, 世界图书出版社 1998
Convergence of Probability
Measures, by Patrick Billingsley,
John Wiley and Sons, 1968
独立随机变量之和的极限定理, B.B. 佩特罗夫著, 苏淳 黄可明译 中国科学技术大学出版社 1991 英文版 Sums of Independent Random Variables, by B.B. Petrov, Springer, 1975
这个主页是本课程的唯一官方渠道,所有事务都以本主页公布内容为准。
另外一个方便的渠道是微信群, 进不了群也不必着急,自己安心看书就可以了, 还可以看我 往年的教学资料
讲课录像
3月24日课程
3月31日(1) 3月31日(2) 4月7日(1) 4月7日(2) 4月14日(1) 4月14日(2) 4月21日(1) 4月21日(2) 4月28 (1) 4月28日(2) 5月12日(1)
5月12日(2) 5月19日(1) 5月19日(2)
5月26日(1) 5月26日(2)
6月2日(1) 6月2日(2) 6月2日(3)
第一章 2, 5, 6, 11, 12, 14, 26, 29, 34, 36, 38, 46
第二章 4, 5, 7, 10,
11, 21, 23, 31, 32, 40, 42, 43
第三章 3, 6, 7, 15, 16, 17, 18, 20, 21, 22, 23,
25, 26, 27, 28, 29, 31, 33 36, 39, 41, 45
第四章 3, 6, 9, 12, 13, 16, 17, 23, 24, 28, 30, 31, 35, 46, 48, 52, 56, 57, 58, 59
第五章 4, 6,
8, 12, 16,
17, 18, 19,
24, 25, 26, 27,
29, 31, 32, 41,
47, 51, 52 60
思考题: 如果随机试验是同时抛掷n枚硬币(带有编号1到n, 当然, 等价的提法是一枚硬币抛掷n次),试构造一个概率空间,用以描述这一试验。若将n换为n+1, 再构造一个概率空间,与前一答案有何关联?
每位同学都请给我写一邮件, 报告自己第一周学习情况(看了几页,做了几题,有何困难等等)。
4月2日下午13点我将布置作业.
要求15点钟通过邮件上交至 [email protected]
第一节
我假定选修实验班是因为你们愿意接受挑战,所以我期望大家多花些时间,学的更深入。
为什么采用这本书? 不仅因为40年前我读过,还因为在我看来它是目前用汉语写就的最成熟的概率论教科书。
开篇第一节告诉我们世界上有不确定的事件,同学们应该自己举一个实际例子。其实这次新冠肺炎疫情就有很多不确定性, 染病人数,染病高峰何时过去?等等
从频率到概率,有一点跳跃,是从朴素直观到公理化,中间是几百年探索。
值得补充是概率论的发展历史,我以前读过一篇文章值得推荐
On the wonderful world of
random walks by E.W. Montroll & M.F. Schlesinger, in “Studies in
Statistical Mechanics”, Lebovitz, J. and Montroll, E. editors, vol. 11,
Noth-Holland, Amsterdam, 1984
概率论的起源并不光彩,源于赌博和灾难。航海事故刺激了保险业的发展,需要估算概率。
频率好理解,只要认真去数数次数就可以,但需要时间,而且每次还有差异,例如投硬币试验。
概率是一个抽象的概念,但的确存在。例如,甲乙双方约定打牌7次定胜负,胜者可以从对方取十万元钱。打完三次以后因故不能继续了,需要合理分割赌资。如果甲方胜了三次,该得多少?甲方胜了两次,又该得多少?拿十万太多,一分不拿好像也不对。这涉及到对最后甲方胜乙方的机会的合理估算,显然不能靠频率来估算。这不是杜撰的例子,而是早年真实发生的事。贵族们赌博,其附庸帮着切割未完成赌博的赌资。附庸们就把问题抛给数学家,数学家之间的通讯讨论催生了概率论。
第二节
关键是样本和事件这两个概念,可能对初学者有点突兀,其实数学家们也花了几个世纪才弄明白。如果“不忘初心”,回到最初的赌博,就很好理解的。
假设赌徒用纸牌赌博,样本就是每次抓到的牌,而事件就是输赢。每次试验(赌博)我们只能观察到样本,事件发生与否由样本所决定。
样本的全体叫做样本空间,如何选取样本空间体现了研究者对随机现象的洞察。
要知道早年人们并没有集合论的概念,但可以计算概率,说明对于简单情形,人们可以用朴素直观想法来确定。例如,投掷硬币,朝上和朝下概率都是二分之一,因为我们的经验告诉我们两者应该相同。
第三节
遵循从特殊到一般的规律,我们先学古典概型。
如果抛掷硬币,只有正反两种可能,而且我们的经验是正反面出现的可能性相同;如果抛掷(正方体)骰子,只有六种可能的结果,如果这个骰子是均匀的,我们没有理由认为某一面朝上的机会更大。如果打牌或者打麻将,每人拿到牌的各种可能也只有有限种,而且在合理分类后,各种可能结果的机会是一样的。(如果凭直观就觉得不一样,这样的赌博就没办法进行了。)
基于这些实践经验。 Laplace在1812年提出了针对这类问题的概率计算公式。
首先假定只有有限个样本,其次假定所有样本是等可能的,根据样本可以决定事情是否发生,要知道在Laplace年代人们还没有集合的概念,但不妨碍聪明数学家使用这一概念,“有利场合”就是那些使事件发生的样本。Laplace定义
事件A的概率= A的有利场合数目 除以样本总数
这个看似简单的公式,包含了很多情形,甚至在计数时可能非常复杂非常困难,涉及排列组合,可以说是本学期最困难的部分。
Laplace很为自己的发现而得意,他认为只要合理选取样本空间,就能求出所需要事件的概率。因此在计算排列组合方面登峰造极,这一节有些题目是本书最难的,有点像数学竞赛题。
第四节
题目应当是几何概率模型或几何概型
古典概型虽好,毕竟有很大限制。古典概型有两个基本假设,样本个数有限,等可能。显然不能把等可能这一假设推广到无限情形。要想推广,至少要改变这两个假设中的一个。几何概型保持了“等可能”这一朴素想法,而把样本空间换为欧式空间的一个(有限)区域Ω,这个区域可以是有限区间(一维),矩形(二维),或球体(三维)。
在几何概型中,事件A可以是一个子区域,而概率就是子区域A和区域Ω的面积之比,当然一维用长度,三维用体积,为了称谓上的简便,今后以测度代替一维的长度,二维的面积,三维的体积。
计算面积体积需要一点多元微积分的知识。书到用时方恨少, 如果没学好,这时正是补学的好机会。
第五节
1933年Kolmogorov提出概率论公理体系,其中最重要的概念就是概率空间。对于同样的问题,不同的人可能选择不同的概率空间,前面的贝特朗悖论就是不同概率空间导致的不同结论。
Kolmogorov的公理体系不是突然冒出来的,而是某种程度上的集大成者,汇集了此前相关数学家的所有智慧,可以读读 The Sources of Kolmogorov’s
Grundbegriffe 如果不想花时间细读,可以直接接受这个观点the
endurance of these ideas is not due to Kolmogorov’s originality. Rather, it is due to the presence of the ideas in
the very fabric of the work
that came before. The Grundbegriffe was a product of its own time. 同时代的维纳说他也能做,只是被Kolmogorov先做了。
概率空间由三部分组成,样本空间Ω, 事件域F,概率P. 我们讲两个概率空间相同,是指对应三部分都相同,缺一不可。
样本空间就是我们每次试验可能得到的结果全体,这一般容易明确。有了集合论的语言,事件就是样本空间的一个子集,但并不是每个子集都是事件,这里就涉及事件域的选取。
人们很早就有两事件同时发生这样的概念,也可以其中之一发生就算发生。例如打牌的话,事件A是两张牌同色,事件B是同数字,显然,两张牌同色又同数字,两张牌同色或同数字,对于赌博来说都可以有意义。在集合论发明之后,这就是集合的并运算和交运算。
事件域应当对交和并封闭,也就是事件的交和并仍然是事件,交和并可以有限次,也可以是无限次,但一谈到无限就要小心,无限和无限可以不一样,不是还有高阶无穷大么?我们只考虑可列次交和可列次并。
同学们年轻气盛,可能会问,样本空间的所有子集全体是sigma域,何不拿它当作事件域?这样做当然省事,但会多付出很多代价,我们应当用最小的代价来完成同样的事,因此我们要尽可能选用最小的sigma域来作为事件域。Borel域就是包含所有开集的最小sigma域。
sigma域,或者针对欧氏空间的Borel域,都是实变函数课程的内容,如果我们认真讲,就到了实变函数。作为初学者,我们不必太纠结于这一部分理论,要知道,在Kolmogorov引入公理体系之前,概率论已经取得了许多辉煌结论。这有点像Cauchy引入ε-δ之前数学家们已经发现了许多微积分的定理一样,没有ε-δ语言,可能不够严谨,但不应当影响我们抓住本质。
第二章
第一节 条件概率
为了精确把握概率,人们需要利用一切相关信息。譬如这次新冠肺炎,对老年人更致命,所有考虑病死率的时候,我们把因新冠死亡的总人数除以确诊病人数。但如果我们讨论老年人的病死率,合理的估算是因新冠死亡的老年人数除以老年病人总数。如果某个单位要提高治愈率,就多收年轻病人。如果要比较中西医之优劣,或评价新药之功效,就要使生存概率尽可能相同,所以要随机化,要“盲审”。
鲁迅是懂得条件概率的, 凭着他的丰富阅历就知道所有病人的生存概率是不同的。他在《马上日记》上写道:“我曾忠告过G先生,你要开医院,万不可收留些看来无法挽回的病人,治好了走出,没有人知道,死掉了抬出,就轰动一时了,尤其是死掉的如果是’名流’”(摘自《协和医事》第234页,没查过《鲁迅全集》,在《鲁迅选集》上有《马上支日记》)。
大家暂时不要担心条件概率中分母为零该如何处理。应当看到条件概率满足概率的三条公里假设(定义1.5.2,P48),
由条件概率出发,很自然推导出乘法公式,全概公式和贝叶斯公式。根据贝叶斯公式,有了先验概率(和条件概率),就可以算出后验概率。问题是从哪里得到先验概率?实际工作者只好根据经验拍脑袋了,理论工作者可以给定先验概率。理论和实际总有差距,理论上可以自圆其说,但未必能解决现实问题,所以不要认为不精确就不好。
第二节独立性
独立性是概率论中的一个重要概念,是日常生活中两件事不相干的抽象表述,具体来说就是P(AB) =
P(A)P(B), 在P(B)>0条件下这等价于P(A) = P(A|B),尽管后一个版本的概率含义更清楚,事件B发生并不改变事件A发生的概率,但前一个版本非但适用范围更大,而且也便于推广到多个事件,n个事件的相互独立需要核验2n条等式。
还有一个弱一点的定义,叫做n个事件两两独立,只需验证n(n-1)/2条等式,书上应该有例子说明n个事件两两独立但不相互独立。
后面还有事件域的独立性,随机变量的独立性,都是从事件的独立性出发。为此我们需要定义可列无穷多个事件的相互独立性。
蝴蝶效应断言世界万物是奇妙关联的,事件独立性只是一种理想假设,很难验证,我们只能接受。于我们而言,事件独立性是计算概率的捷径。其中通过冗余备份提高可靠性,是经常提到的案例。
如何构造一个概率空间,用来描述抛掷n次硬币?这是第二节最后讲的内容。既然能构造一个概率空间用于描述抛掷一次硬币,就能为第k次抛掷构造第k个概率空间,然后就要把它们拼接起来成为一个大空间,能同时描述n次抛掷。因为概率空间有三部分,样本空间,事件域,概率,所以拼接也有三步,先定义乘积样本空间,再把事件域也“乘”起来,对于有限空间这并不困难,第三步就是合理指定概率,用到了独立性。
显然我们可以把硬币换成骰子,或者硬币两面不对称。如果更进一步,样本空间是连续的,需要花点功夫把事件域“乘”起来,就是实变函数里的乘积可测空间。至于概率,还要多花些力气,就是乘积测度。如果再去掉独立性,要用耦合理论,而前面所讲的就是独立耦合。
第三节 伯努利试验和随机游动
我们都有连续抛掷硬币的经验,总结起来就是四点(1)每次试验只有两种可能,正面或反面(2)每次试验出现正面的概率相同(3)每次试验相互独立(4)只做了n次试验。这里面(1)和(4)并不重要,很容易推而广之,而(2)(3)更为本质,因为经常用,就叫做“独立同分布”,英文independent and identically distributed简写为i.i.d.,如何为此建立一个概率空间,是上一节最后部分的内容,从这个模型出发,可以导出两类分布:二项分布和帕斯卡分布 (oops, 我们还没有讲过概率分布的定义,从逻辑上讲我们应该先讲定义再说例子,但实际上都是现有例子再产生概念)。二项分布的特例是伯努利分布,帕斯卡分布的特例是几何分布。后面我们将看到帕斯卡分布是若干个几何分布的叠加(准确用语是卷积)。
在计算几何分布时我们发现,在m次试验中首次成功的时间为k的概率与m无关,我们用不同的概率空间得到相同的概率,说明这些不同概率空间具有某种相容性
伯努利成了只有两种可能的代名词,两种可能又可以用0和1来表示,例如伯努利渗流模型。如果把伯努利试验中的(1)改为多种可能结果,就可以得到多元分布。
如果把伯努利试验看成赌博(历史上,伯努利试验就是赌博),每次出现正反面机会相等,根据正反面输赢一元,那么累计输赢就是一维简单随机游动。S_n表示第n次试(du)验(bo)之后总的赢钱数(负数表示输钱)。这个定义显然可以推广,于是就有各种各样的随机游动,一般定义见补充讲义,甚至还可以推广的群上。我们这里讨论是最简单情形,已经有一些有意思的问题。
第四节 二项分布和泊松分布
在没有计算机的年代,计算二项分布是非常吃力的,但b(k,n,p)在k=np附近达到最大,确实很容易验证的,也是很有实际意义的,可以指导实践。机票销售也是很有实际意义的例题,在允许冒险的条件下,回报会高一些。在许多实际场合,人们要在冒险和回报最大化之间取舍。每个人容忍风险的程度是不同的。
为了逼近二项分布,泊松引入泊松分布,容易验证,当n趋向无穷而且np趋向 λ时, b (k,n,p)趋向p(k,λ),这在没有计算机(器)的年代很有帮助,但泊松分布本身很有意义,特别是与卢瑟福的放射性粒子数拟合的很好,实验数据背后是某种客观规律,泊松分布反映某种自然规律,以后我们会有更多体会,
课本上为了说明泊松分布的重要性,提到了泊松过程,这显然超纲了。泊松过程是一个非常优美非常常见的随机过程,可以有许多等价的定义,这里的定义显然不是最好选择,我的建议是跳过这两页,如果你急着要弄清楚,请看补充讲义
凡是过往皆为序章,概率论从下一章才真正开始。
第三章
第一节
给定概率空间(Ω,F,P),设X是从Ω到实数R的映照,对任何a<b,
区间(a, b]的逆像都属于F, 则称X是[定义在概率空间(Ω,F,P)]上的]随机变量。
这与课本上定义3.1.1是一致的,但回避了“博雷尔”这几个字。熟知实数R自带一个σ域,就是全体开集生成的最小σ域,叫做Borel域B,因此映照X诱导了B到F的映照,所谓X可测就是B中任何一个元素(Borel集)的逆像都属于F。学完实变函数就会发现要找一个不可测函数还是挺难的,我们平常打交道的函数,你能随口说出的函数,都是可测函数。所以暂时可以不管“可测”这两个字。
给定概率空间(Ω,F,P)和随机变量X,对于任意实数x,{ω,
X(ω)
≦ x}属于F,定义F(x) = P({ω, X(ω) ≦
x}) ,称函数F为随机变量X的分布函数。
请注意这里的定义与课本上定义3.1.2相差一个等号。因为经常打交道,不会引起歧义的话可以写的省略一些,F(x) = P(ω,
X(ω)≦x) = P(X≦x),
分布函数F具有如下性质:1.单调上升,2.左端趋向0,右端趋向1,3. 左极右连。
严格的证明用到了概率公理假设中的下连续性(1.5.14)。由于我们修改了定义,课本上是左极右连。思考题:如果一个函数满足上述三点,一定是某个随机变量的分布函数吗?
我们根据分布函数对随机变量进行分类:
如果X只取可列个数值,分布函数是阶梯形的,称X是离散型的,
如果分布函数是可微的,则称X是连续型的,此时分布函数F的导数f叫做X的(概率)密度函数(pdf)
当然还有分布函数既不是阶梯形的也不是可微分的,此时称X是奇异型的。
显然古典概型诱导的随机变量是离散型的,前面学到的二项分布,伯努利分布,泊松分布,几何分布,帕斯卡分布等等,都是离散型的。
这里有一个小问题,前面在讨论几何概型时,用到了不同概率空间,而这时候不能同时用多个概率空间,更重要的我们希望摆脱实际束缚,找到更多例子,这就要回答前面的思考题。
给定单调函数F,左极右连。取Ω=R,F =Borel 域,X是从R到R的恒同映照,定义P((a, b])=F(b)-F(a), 然后把P的定义延拓到Borel 域,这样我们构造了一个概率空间及其上的随机变量X,其分布函数就是F.
这个回答很重要,这说明概率空间并不是本质的,可以随时造一个。这样造出来的概率空间叫做典范的(canonical), 在典范概率空间,随机变量和分布函数一一对应,我们感到舒服多了,因此有时候也混为一谈,譬如离散分布实指离散型随机变量的分布函数。
而且任何一个实轴上的非负函数f,如果积分为1,则f就是某个随机变量的概率密度函数。于是我们就有很多连续型随机变量的例子:
均匀分布U(a, b),对应几何概型
正态分布N(μ, σ2),又叫做高斯分布,μ=0, σ=1时, N(0,1)叫做标准正态分布
指数分布Exp(λ),
与离散型的几何分布很像,都具有无记忆性
Gamma分布Γ(r, λ),只要能记得 Γ-积分
大家应当要记得这几个分布的密度函数,因为我能记得,所以要求大家记得。
在所有分布中,正态分布是最重要的,首先在很多场合出现,譬如误差的分布,其次它具有非常优美的性质,不同的N(μ, σ2)通过线性变换可以转化为 N(0,1),因此一张正态分布表就可以了(P133L-3有误),最重要的它是各种收敛序列的极限分布。
指数分布的无记忆性很重要,今后讲马氏过程,马尔可夫性质,就依赖这个无记忆性。而且指数分布是唯一具有无记忆性的连续型随机变量。这句话里我们不仅把分布和随机变量混为一谈,而且用到了典范概率空间。定义在两个不同概率空间上的两个随机变量,即使它们的分布函数相同,按照定义,它们是不同的。但从使用者角度来看,看不见概率空间,只能感受到分布函数,因此谈论唯一性的时候,限用典范概率空间。
以后我们还可以构造另一个概率空间,其中Ω=[0,1], 与现在所说的典范概率空间是等价的,也是很常见的。
第二节 随机向量 (有些等式等是不能显示,请看笔记)
随机向量是概率空间到n维欧氏空间的可测映照,所谓可测,就是要求欧式空间的任意开集的逆像都属于概率空间的σ域F,如前所述我们还真很难碰到不可测的映照。
显然随机变量是一维随机向量,也有人把随机变量和随机向量混为一谈。试想若把n维欧氏空间换成群,从概率空间到群的可测映照,又叫什么?
随机向量还可以看成是定义在同一概率空间的n个随机变量。
随机向量也分为离散型和连续型(还有奇异型),对于离散型随机向量,列表是最简单的,即P(X=xi) = pi
对于连续型随机变量,最常用是其概率密度函数,首先从分布函数说起,为简单计,这里只拿二维随机向量(X,Y)举例,推广到n维并非难事。令
F(x,y)
= P(X≦x, Y≦y),注意我们这里修改了等号,对于连续型,不用太在意边界,随机向量落在边界的概率为零。p(x,y) 是F(x,y) 关于x和y的二阶偏导数
则P(X≦x, Y≦y)=F(x,y) =![]()
这一等式可以推广到更一般情形
![]()
容易验证这等式对于矩形成立,然后可以用若干不相交矩形的并来逼近区域,再次利用概率的连续性。由于这最后一条等式,对于连续型随机变量,通常只用密度函数,很少用分布函数。
任何非负函数,只要积分有限,经过归一化,就可以是一个密度函数,但真正需要记住的只有有限区域上的均匀分布,和高维正态分布(3.2.22)和(4.6.1),
随机向量的分布函数包含很多信息,可以诱导出边缘(边际)分布,例如
![]()
对于离散型,就是适当求和。对于连续型,给定密度函数,可以通过积分就算出边缘分布的边缘密度函数
![]()
对于3维情形,还可以有2维的边际分布,n维的分布函数可以诱导出2n-2个边际分布,特别是高维正态分布的边际分布仍是正态的。这些边际分布之间还有相容性,即边际分布的边际分布还是边际分布。但这些边际分布并不能决定原来的分布函数。给定若干(相容)的分布函数,构造一个高维分布函数,以这些分布函数为边际分布?这是一个问题,耦合技术就是来解决这个问题的。
条件分布,对于离散情形,在给定事件{Y=y}= {
Y
=y}条件下,P(X≦x | Y=y) = P(X≦x, Y=y) / P(Y=y),其实更常用的是条件概率 P(X=x | Y=y)= P(X=x, Y=y) / P(Y=y).
对于连续情形,事件{Y=y}是零概率,但零概率事件是会发生的,所以要考察
P(X≦x | Y=y)![]()
这里的等号=实为定义。

=![]()
因此把
=
作为事件{Y=y}的条件概率密度函数.
作为微积分的练习题,正态分布的条件分布仍是正态的。看看图3.2.3就可以
两个随机变量X和Y,如果对于任何实数x和y,事件
和事件
都独立,等价的是,
, 则称随机变量X和Y相互独立。
若把X和Y看成是随机向量的两个分量,则上述条件可以写为
, 在独立性假设下,边际分布可以决定联合分布。
独立性条件还可以推出更强的形式,对任意可测集A和B,
![]()
学过实变函数或测度论就知道,这样的推广并不困难,使用起来更方便。
不难把两个随机变量的独立性推广到多个随机变量,对任意x,y,………z
![]()
则称随机变量X,Y, … Z相互独立。这里x,y,………z可取任意实数,也可以是
,正因为如此,这一条等式已经与2n条等式相当。
2019春 《随机过程论》
对象: 数学色控
概率统计系一年级研究生
时间: 周三34节(每周)周五56节(单周)
地点: 二教413
答疑时间: 周三下午3:00—5:00
教材: Probability:
Theory and Examples (5th
edition), by R. Durrett,
助教: 孙振尧
期终大考 6月12日上午
考前答疑 6月10日 下午3:00-5:00
6月11日 下午3:00-5:00
作业
5.29 §8.1
1, 2,
§7.6
2, 3, 5,
5.22 §7.5
1, 3, 5,
§7.4
1, 2, 4,
5.15 §7.3
1, 2, 4, 5,
§7.2
1, 3, 4,
5.8 §7.1 1, 2, 4, 5, 6,
4.10 §6.5
1, 2, 3, 4, 5
4.3 §6.3
1, 2, 3, 4,
§6.2
1, 2, 3,
3.27 §6.1
1, 2, 3, 4, 5, 6, 7
3.20 §4.8
3, 4, 5, 7, 10
§4.7
3, 4, 5,
3.13 §4.6 4, 5, 7
§4.4
3, 5, 7, 8, 9, 10
3.6 §4.3
1, 3, 5, 9, 10, 13
2.27 §4.2
2, 3, 4, 6, 8, 9
2.20 §4.1 2,4, 6, 9, 10
附录:第4版影印版前言
概率论是研究随机现象的一门数学,它的研究范围包括随机事件、随机度量和随机过程。概率论既有深刻的理论也有广泛的应用,其重要性越来越受到人们的关注。2006年日本数学家伊藤清先生荣膺首届高斯奖,法国W.Werner获得Fields奖,2007年印度裔美国数学家S.R.S.Varadhan获得Abel奖。这些奖项只是冰山一角,在其背后是概率论在过去半个多世纪的蓬勃发展。如同其他数学分支一样,概率论对所有科学有深刻的影响,还间接影响了技术、商业和日常生活。以伊藤的研究为例。从上世纪四十年代开始,伊藤发展了一套全新的数学理论,称之为随机分析。它使得数学家们可以将随机力和确定性的力混在一个所谓的随机微分方程中表达,甚至可以在某种意义下解这个方程。伊藤的理论十分抽象,可以应用到许多完全不同的领域中去。金融市场中的股票价格遵从随机力量,就像在布朗运动中起作用的那样。为抵消波动影响,银行家们发现他们被迫在“连续时间”进行交易,至少在理论上是这样的。由伊藤的思想发展出一套连续交易的策略,最终可用公式计算期权价格。今天,Black-Sholes公式成为几乎所有跟期权和期货有关的经济交易的基础。此外,它也为这两位发明人赢得了1997年的诺贝尔经济学奖。伊藤的理论还应用于生物的种群大小、基因库中某种等位基因的出现频率,甚至更复杂的生物量。因为伊藤的工作,生物学家可以判断某基因支配全种群或某物种存活的概率。
在过去半个多世纪里,概率论得到迅速发展,内容极大丰富。这些变化也反映在研究生的教材里。每位教师都希望在有限的教学时间内教给学生最有价值的内容,这就需要一本能够精选内容、反映时代要求的教科书。为此国内外学者不断编写教材,其中影响较大的当推美国斯坦福大学钟开莱教授所著A Course in Probability Theory。该书编写严谨,习题难度大。该书的第二版于1974年出版,距今也有三十多年了。进入上世纪九十年代,美国康奈尔大学Rick
Durrett教授所著Probability:Theory
and Examples一书因选材恰当、编排合理、难度适中、兼顾理论与应用、契合当今研究生教学的实际情况而为美国多所著名高校选为研究生教材。在有限篇幅内,作者不仅很好地保留了传统教科书的经典内容,也吸收了许多最新研究成果;作者注意分散难点,避免冗长证明。自1998年以来,我在色控
讲授研究生课程《高等概率论》和《随机过程论》各三次,均以该书为参考书。
我国开展研究生教育的时间并不太长,与国际最高水平相比尚有很大差距。为了更好地提高我国研究生的培养水平,我们必须多方面借鉴世界先进水平,包括引进国外优秀教材。纵观科学发展历史,所有学科都是在传承、交流中发展起来的。还是以Durrett书为例,Durrett早年就读于斯坦福大学。学的就是钟开莱所写的书。Durrett一度称钟为academic god-father。之后Durrett在UCLA任教,Durrett书的体例安排与UCLA研究生课程的教案相当吻合。Durrett的书反映了美国半个世纪以来在概率论教育实践中所积累的经验,是值得我们认真学习借鉴的。在吸收消化的同时,我们还应当注意总结自己的心得体会,不断创新,应当“对人类做出较大的贡献”。这几年我国工业界许多行业就是从引进开始,经过消化创新,再走向世界的。随着我国综合国力的提升,今后由我国学者编撰的教材在美国得以采用也绝非天方夜谭。
此书宜为概率统计专业一年级研究生《高等概率论》和《随机过程论》的教材。对于学过概率论的学者而言,这也不失为一本好的参考书。据传,美国一位刚得学位的年轻博士曾云游南美一年,除了生活必需品,随身携带的只有Durrett这本书。这位博士现已是美国一所常青藤大学的教授。同学们在学习概率论时要注意培养自己的直观判断能力和严谨推理能力,应以探索的精神去理解定义、命题和定理之间的逻辑关系,而不应迷信书中的每一句话。Durrett在其第二版的前言称已消灭了第一版中500个笔误或排版错误,之后网上又出现了有关第二版的勘误表,长达6页之多。我们相信第三版已有改进,同时也有理由相信第三版中仍会有谬误之处。 瑕不掩瑜,总的来说,这是一本优秀的研究生教材,我热忱向国内读者推荐此书。
陈大岳
色控
2007年8月27日
--------------------------------------------------------------------------------------------------
2018春 《随机过程论》
对象: 数学色控
概率统计系一年级研究生
时间: 周二34节(每周)周四34节(单周)
地点: 二教313
教材:
Probability: Theory and Examples,
by R. Durrett,
助教: 赵林杰
期末考试时间 6 月21日(星期四)下午14:00-16:00
地点 理教211
考试形式 闭卷,共8题,其中6题为布朗运动,2题为平稳过程
答疑时间 周二周三下午3:00—5:00
作业
6. 5 §7.9
1,
§7.8
1
5.29 §7.6
1, 2, 3,
5.22 §7.5
1, 2, 3, 4, 5
§7.4
1, 2,
5.15 §7.3
1, 2, 3, 4, 5, 6
5.10 §7.2
1, 2, 3
§7.1
1, 3
4.17 §6.7
1,2
§6.6
1,2
4.10 §6.3
1,3,5
§6.2
1,2,3
4.3 §6.1
1,2,3,6,7
3.27 §4.7
1,2,7,8
§4.6
1,2,3,4
3.20 §4.5
6, 7
§4.4
4, 5, 8, 9, 10
3.13 §4.5
8, 1, 5
§4.2
9, 12, 13, 14
3.6 §4.2
1, 3, 4, 5, 7, 8,
2.26 §4.1
1, 4, 6, 7, 8, 9, 11, 12
-------------------------------------------------
2017年秋《应用随机过程》
对象: 数学色控
暨元培色控
本科2015级, 非色控
研究生
时间: 周二34节(每周)周四56节(单周)
地点: 理教106
教材: 《应用随机过程》,钱敏平龚光鲁陈大岳章复熹合编,色控
出版社,2011年6月出版
助教: 殷鉴远 沈舜麟 [email protected] [email protected]
答疑地点/时间:周三下午14:00-16:00, 理科一号楼1488, 时间待定,答疑时间不讨论本周要交的作业。
期中考试地点:二教105, 时间10月31日上午10点-12点。
期末考试,2018.1.2上午 二教105
答疑时间 12月31日 , 1月1日下午 2点--5点
其他时段,只要我在办公室,都是答疑时间
更多参考资料 //shengkong.org/teachers/dayue/Homepage/asp.htm
P127
#10 的解答, #9类同
作业
9月12日, P5, 4,
5, 7, 8,
11, 13
9月19日, §2
1, 3, 5,
§3,
2, 3, 4
9月26日 §4,
3, 4, 5, 7,8, 9
10月10日 §6,
1, 2, 3,
4, 5
10月17日 §8
1, 2, 3,
10月24日 §9 2, 3,
4, 5
§10 2, 4,
§11 1
11月7日 §1 1, 2,
3, 5, 6,
7
§2
1
11月14日 §2
3, 5, 7,
9
§3
2, 5, 6
11月21日 §4 1, 2,
3, 4, 5
11月28日 §5
1, 2, 4, 6
12月5日 §1
1, 2, 3, 7,8
§2 2,3
与教员的联系方式:(1)在答疑时间到办公室面谈,(2) 其他时间到办公室面谈,(3) 发送电子邮件 [email protected], 仅限事务告知,如请假;(4) 打电话到办公室 62755964,仅限紧急情况。我的时间安排
周一 上午 院务会9:00—11:00
下午常有概率论报告会 15:00—16:00
周二 上午 上课
10:00—12:00
周四 下午 单周上课13:00-15:00
-----------------------------------------------------------------------
2017春《随机过程论》
对象: 数学色控
概率统计系一年级研究生
时间: 周二34节(每周)周四34节(单周)
地点: 三教306
教材:
Probability: Theory and Examples,
by R. Durrett,
助教: 韦东奕
答疑地点/时间: 理科一号楼1488, 周三下午2点--4点, 答疑时间不讨论本周要交的作业。
期末考试定于2017年6月13日上午8:30-10:30在理教307进行。
期中考试,4月11日上午10点
作业
2.21: Ch5§1, 3, 4, 6, 7, 8, 11, 12
2.28: Ch5§2
4, 5, 8
Ch5§3,
5, 6, 7, 8
3.7
Ch5§4 4, 5,
Ch5§7
1, 2
Ch5§2
14,
Ch5§5,
1, 8
3.14
Ch5§4
6,7, 8
Ch5§5, 2, 6
Ch5§6
1, 2
3.21
Ch5§6
3, 4
Ch5§3,
1, 4,
Ch5§4,
9, 10, 11,
3.28
Ch7§1
1, 2, 3,
4, 5, 6
4.6
Ch7§2
1, 2, 3,
4.18
Ch7§3
1, 2, 3,
4.
Ch7§4 1,
4.25
Ch7§5
1, 2, 3,
4, 5
5.2
Ch8§1
1, 2, 3,
5.9
Ch8§2
1, 2, 3,
4
5.16
Ch8§3
1, 2, 3,
4, 5
Ch8§4
1, 2,
5.23 Ch8§5
1, 2, 3,
4, 5, 6
6.1
Ch8§6
1, 2, 3,
6.6
Ch8§7
1, Emperical
Distr., Browian Bridge
Ch8§7
1, 2, 3 Laws of Iterated
Logarithm
我的时间表
周一 9:00—11:00 院务会 在理科一号楼1210
周二10:00—12:00 授课 在三教306
周三14:00—16:00 答疑 在理科一号楼1488
周四10:00—12:00 授课 在三教306
周五9:00—11:00 值班在理科一号楼1209
影印版前言
概率论是研究随机现象的一门数学,它的研究范围包括随机事件、随机度量和随机过程。概率论既有深刻的理论也有广泛的应用,其重要性越来越受到人们的关注。2006年日本数学家伊藤清先生荣膺首届高斯奖,法国W.Werner获得Fields奖,2007年印度裔美国数学家S.R.S.Varadhan获得Abel奖。这些奖项只是冰山一角,在其背后是概率论在过去半个多世纪的蓬勃发展。如同其他数学分支一样,概率论对所有科学有深刻的影响,还间接影响了技术、商业和日常生活。以伊藤的研究为例。从上世纪四十年代开始,伊藤发展了一套全新的数学理论,称之为随机分析。它使得数学家们可以将随机力和确定性的力混在一个所谓的随机微分方程中表达,甚至可以在某种意义下解这个方程。伊藤的理论十分抽象,可以应用到许多完全不同的领域中去。金融市场中的股票价格遵从随机力量,就像在布朗运动中起作用的那样。为抵消波动影响,银行家们发现他们被迫在“连续时间”进行交易,至少在理论上是这样的。由伊藤的思想发展出一套连续交易的策略,最终可用公式计算期权价格。今天,Black-Sholes公式成为几乎所有跟期权和期货有关的经济交易的基础。此外,它也为这两位发明人赢得了1997年的诺贝尔经济学奖。伊藤的理论还应用于生物的种群大小、基因库中某种等位基因的出现频率,甚至更复杂的生物量。因为伊藤的工作,生物学家可以判断某基因支配全种群或某物种存活的概率。
在过去半个多世纪里,概率论得到迅速发展,内容极大丰富。这些变化也反映在研究生的教材里。每位教师都希望在有限的教学时间内教给学生最有价值的内容,这就需要一本能够精选内容、反映时代要求的教科书。为此国内外学者不断编写教材,其中影响较大的当推美国斯坦福大学钟开莱教授所著A Course in Probability Theory。该书编写严谨,习题难度大。该书的第二版于1974年出版,距今也有三十多年了。进入上世纪九十年代,美国康奈尔大学Rick
Durrett教授所著Probability:Theory
and Examples一书因选材恰当、编排合理、难度适中、兼顾理论与应用、契合当今研究生教学的实际情况而为美国多所著名高校选为研究生教材。在有限篇幅内,作者不仅很好地保留了传统教科书的经典内容,也吸收了许多最新研究成果;作者注意分散难点,避免冗长证明。自1998年以来,我在色控
讲授研究生课程《高等概率论》和《随机过程论》各三次,均以该书为参考书。
我国开展研究生教育的时间并不太长,与国际最高水平相比尚有很大差距。为了更好地提高我国研究生的培养水平,我们必须多方面借鉴世界先进水平,包括引进国外优秀教材。纵观科学发展历史,所有学科都是在传承、交流中发展起来的。还是以Durrett书为例,Durrett早年就读于斯坦福大学。学的就是钟开莱所写的书。Durrett一度称钟为academic god-father。之后Durrett在UCLA任教,Durrett书的体例安排与UCLA研究生课程的教案相当吻合。Durrett的书反映了美国半个世纪以来在概率论教育实践中所积累的经验,是值得我们认真学习借鉴的。在吸收消化的同时,我们还应当注意总结自己的心得体会,不断创新,应当“对人类做出较大的贡献”。这几年我国工业界许多行业就是从引进开始,经过消化创新,再走向世界的。随着我国综合国力的提升,今后由我国学者编撰的教材在美国得以采用也绝非天方夜谭。
此书宜为概率统计专业一年级研究生《高等概率论》和《随机过程论》的教材。对于学过概率论的学者而言,这也不失为一本好的参考书。据传,美国一位刚得学位的年轻博士曾云游南美一年,除了生活必需品,随身携带的只有Durrett这本书。这位博士现已是美国一所常青藤大学的教授。同学们在学习概率论时要注意培养自己的直观判断能力和严谨推理能力,应以探索的精神去理解定义、命题和定理之间的逻辑关系,而不应迷信书中的每一句话。Durrett在其第二版的前言称已消灭了第一版中500个笔误或排版错误,之后网上又出现了有关第二版的勘误表,长达6页之多。我们相信第三版已有改进,同时也有理由相信第三版中仍会有谬误之处。 瑕不掩瑜,总的来说,这是一本优秀的研究生教材,我热忱向国内读者推荐此书。
陈大岳
色控
2007年8月27日
----------------------------------------------------------------------------
2016年秋《应用随机过程》
大考时间: 2017年1月4日上午
考试地点: 理教106(数院14级), 理教201(研究生, 数院13级, 元培, 其他院校 )
考前答疑: 1月2日上午9:00-11:00,
1月2日下午2:00-4:00,
1月3日下午2:30-4:30
对象: 数学色控
暨元培色控
本科2014级, 非色控
研究生
时间: 周三34节(每周)周五78节(单周)
地点: 二教205
教材: 《应用随机过程》,钱敏平龚光鲁陈大岳章复熹合编,色控
出版社,2011年6月出版
助教: 谢永嘉 石松庭
答疑地点/时间: 理科一号楼1488, 周二14:00-16:00,答疑时间不讨论本周要交的作业。
与教员的联系方式:(1)在答疑时间到办公室面谈,(2) 其他时间到办公室面谈,(3) 发送电子邮件 [email protected], 仅限事务告知,如请假;(4) 打电话到办公室 62755964,仅限紧急情况。我的时间安排
周一 上午 院务会9:00—11:00
下午常有概率论报告会 15:00—16:00
周二 上午院长值班9:00—11:00 下午答疑 14:00—16:00
周三 上午 上课
10:00—12:00
周五 下午 单周上课15:00-17:00
每周作业 (交作业时间:每周三上午)
12.28 Page 124 1, 2,
4
12.21 Page 115 1, 2,
3, 5
Page 120 1, 2, 4, 6,
7, 8
12.14 Page112, 1, 2,
3, 4
12.7. Page 103, 1,
2, 3, 4, 5,
6, 7, 8
11.30 Page 91 2, 3,
4, 5, 6
11.23 page 88, 2,
3, 4, 5
Page 100, 1, 2, 6
11.16 page 75 3, 4,
Page 81 1, 2, 3, 5, 6,
11.9 Page 71 3, 5,
6, 7
Page 75 1 5
10.26 Page 39 3, 4
Page 43 3, 4
Page 46 1
10.19 Page 35 2, 3
Page 39 6
10.12 Page 28 2, 3, 4, 7,
8
Page 31
1, 2, 3
9.28 Page 17 6, 7, 8 ,9, 10, 11
9.21 Page 11 3,4
Page 17 2, 3, 4 ,5
9.14 Page5, 4, 5, 8, 11,
12
Page 8, 2, 3, 5
P81 习题 4 参看 Norris书p91, Theorem 2.7.2
P84 命题2.4.10, 参看吴立德,“可数马尔可夫过程状态的分类”,《数学学报》第15卷(1965), pp32-41
Check List: 如果你觉得学习这门课比较难,请检查
(1)是否每周花了10小时在这门课上,
(2)是否就遇到的困难寻求过老师同学帮助,
(3)是否在数学分析、高等代数、概率论等先修课程方面有缺陷。
补充参考书面:
T. M. Liggett, Interacting
Particle Systems, Springer, 1985
章复熹老师写的扩展版. //shengkong.org/teachers/zhangfxi/homepage/textbook.htm
Gregory F. Lawler, 随机过程导论, 张景肖译,机械工业出版社,2010
G.R.
Grimmett,
R.D. Stirzaker; One Thousand
Exercises in Probability
陈大岳 随机游动的常返与相遇问题
中考时间: 11月2日上午10点10分—中午12点, 地点理教208
部分解答(new)
考卷分发:11月10日晚 6点30分-8点30分,
理科一号楼1493
每题得分平均 9.3 8. 4 9.3 7.1
6.3 7.6 4.3 2.6 3.
1 0. 1 总平均分58.1
生活中的随机过程:1. 我每天步行的步数, 2. 手机一直在三个状态之间变换:关机,接听,待机;
George
Polya 遇到的尴尬事:... he and his fiancée (would) also set
out for a
stroll
in the woods, and then suddenly I met them there. And then I met them
the
same morning repeatedly. I don't remember how many times, but certainly
much
too often and I felt embarrassed. It looked as if I was snooping around
which
was, I assure you, not the case. I met them by accident - but how likely
was
it that it happened by accident and not on purpose?
A mathematics course is not a stockpile of raw material nor a random selection of vignettes. It should offer a sustained tour of the field being surveyed and a preferred approach to it. Such a course is bound to be somewhat subjective and tentative, neither stationary in time nor homogeneous in space. But it should represent a considered effort on the part of the author to combine his philosophy, conviction, and experience as to how the subject may be learned and taught. The field of probability is already so large and diversified that even at the level of this introductory book there can be many different views on orientation and development that affect the choice and arrangement of its content. The necessary decisions being hard and uncertain, one too often takes refuge by pleading a matter of "taste." But there is good taste and bad taste in mathematics just as in music, literature, or cuisine, and one who dabbles in it must stand judged thereby. (摘自钟开莱“A Course in Probability Theory”的前言)
-----------------------------------------------
2015年秋《随机过程引论》
对象: 数学色控
暨元培色控
本科2013级, 研究生
时间: 周三34节(每周)周五12节(双周)
地点: 三教504
教材: 《应用随机过程》,钱敏平龚光鲁陈大岳章复熹合编,色控
出版社,2011年6月出版
助教: 潘育
答疑地点: 理科一号楼1488
答疑时间: 周一18:30-20:30
交作业时间:每周三上午
考前答疑:周一(1月4日)下午2:00-5-00, 晚上8:00-9:30, 周二(1月5日)下午2:00-5:00
期末考试, 1月6日上午8点半, 地点在三教408,开卷(可以带任何书本,笔记)
另请在1月8日之前提交一份读书/科研小报告,阐述某一专题/问题。可以通过电子邮件递交,也可放在我的信箱。
这是一门新设立的课程,要求略高于同期开设的“应用随机过程”,虽然所用课本相同,补充材料将很不一样。欢迎喜欢挑战自我的同学选修本课,在意分数的同学要慎选。
如果要了解我以前开设“应用随机过程”情况请看链接。
教学内容包括随机游动、马氏链、泊松过程、跳过程、布朗运动。如果允许的话,我希望这课名叫做“从随机游动到布朗运动”。当然这很受钟开莱的书名Lectures from Markov processes to Brownian motion 的影响。
2015年春《测度论》
对象: 数学色控
暨元培色控
本科2012级
时间: 周二78节周五34节(双周)
地点: 理教313
教材: 程士宏《测度论与概率论基础》,色控
出版社
助教:
金晓 [email protected]
答疑地点: 理科一号楼1488
答疑时间: 周四14:00-16:00
期终考试 6月30日(星期二)下午14:00-16:00, 地点二教109,请阅读我的考试要求
考题来源:课本p127 #7, p165 #18 这是对坚持做作业,坚持上课的同学的奖励
严加安 #3.3.7,
#3.3.9. 7.2.2 (30年前写的解答 )
7.2.5
4.1.2 4.2.3
严士健 p205, # 2, p206 # 11 部分解答,正在添加中
考前答疑 周四 6月25日下午14:00-16:00,
周五 6月26日下午14:00-16:00,
周日 6月28日下午14:00-16:00,
周一 6月29日下午14:00-16:00,
作业
3月3日, page21, 2, 6,10,14
3月10日, page21,
17, 20, 23,
24, 25
3月17日, page 56 5, 6, 10, 12, 13
3月24日, page 56 16, 17, 21, 23, 24, 26, 29
3月31日
没有新作业,
4月7日 page 90, 1, 2, 4, 10, 11, 12
4月14日 page 90, 19, 22, 24, 25, 28, 30
5 月8日 page 125, 2, 4, 5,
6, 7
5月12日 page 125, 8, 9, 10,
11, 12
5月19日 page 127, 16, 18, 22, 24, 27, 28
5月26日
page 163 2, 3, 5, 9,
10
6月2日 page
164 13, 14,
15, 18, 19
6月9日 page
165 22, 28
有同学向我指出第19题有误, 定义3.3.1只给出了弱Lp收敛, 1<p <\infty, 及p=1.
参照后面定理3.3.10及定理3.3.11,本题的L\infty应改为L1
助教告诉我,有些同学第4题做的不够严谨,这里是参考答案
重要通知: 4月28日中考, 考试范围为前三章。
考试地点:理教402教室
4月24日色控运动会停课一次,改为答疑时间。周一下午,周二上午也可来办公室咨询。
考题来源: 汪嘉冈《现代概率论基础》 复旦大学出版社,1988,
p25, 11, 13, 28; p80, 31, 37, 40
严加安《测度论讲义》(第二版) 科学出版社 2004, p49, 3.1.5
程士宏《测度论与概率论基础》 色控
出版社 2004, p57, 11,
p54 引理2.5.7
For further reading:
Birds and Frogs, AMS Notices, 2009
The source of
Kolmogorov’s Grundbegriffe,
Stat Science, 2006 vol 21, 70-98
30多年前我学过一门相近的课程,课名是《现代概率论基础》,主讲人是汪嘉冈先生(当时可能还是副教授),选课学生共七人,清一色男生。课本是没有的,上了一半的时候补发了讲义,是用铁笔蜡纸刻写的,后来出版了同名教材,干巴巴的,没能再现课堂上的风采和节奏。我的作业是认真完成的,更重要的是,作业由老师本人批改。现在的教学能说比以前进步?
我的时间安排
周一 9:00-11:00 院务会议 1210
15:00-16:00 概率论讨论班
周二
9:00-11:00 院长值班 1209
15:00-17:00 上课 理教313
周三 14:00-17:00 研究生讨论班
周四 14:00-16:00 答疑时间 1488
周五 10:00-12:00 上课(双周) 理教313
15:00-16:00 数学所活动
1114
-------------------------------------------------------------------
2014年春
《毕业论文讨论班》
对象: 数学色控
暨元培色控
本科2010级共11人
时间: 周二晚上6:30-9:30
地点: 理科一号楼1418
答疑时间: 周二下午3:00-4:30
基本要求:
每位同学在老师指导下制定学习计划。
在自学基础上报告两次,每次1.5小时。
在学期结束前提交一份合乎规范的毕业论文。
我的工作任务表,供参考
周一 9:00-11:00
院务会议,在1210
15:00-16;00 (不定期)概率论讨论班
周二 15:00-16:30 答疑
18:30-21:30 本科生讨论班
周三 9:00-11:00 在1209室值班
周四 14:30-17:00 研究生讨论班, 在1418
周五 15:00-16:30
综合报告会,
在1114
& 1384
2013秋
《金融中的随机数学》 ----- 第二部分 马氏链
期末答疑时间(暂定)
12月30日 下午2:00—4:00
12月31日 下午2:00—4:00
1月2日 上午9:00---11:00
1月3日 上午9:00---11:00
1月5日 上午9:00---11:00
教材: 《随机过程导论》Gregory F. Lawler著, 张景肖译, 机械工业出版社出版
第一章第二章
参考书:《应用随机过程》,钱敏平龚光鲁陈大岳章复熹 高等教育出版社 第一章
11月8日
11月22日
11月29日
12月6日 可数状态空间马氏链的例子,零常返, 生灭链的一些计算
12月13日 可逆的定义和判别, 分枝过程
12月20日 可逆与电网络,极限定理 耦合
12月27日 常返和格林函数, 随机游动 反射原理/反正弦律, Wald引理
主讲教师: 陈大岳 [email protected]
答疑时间: 周三下午2:00-4:00, 理科一号楼1488室
助教: 周江 [email protected]
作业
11月22日 p27, 1, 2, 3, 4, 5
11月29日 p28, 6, 10, 11, 12, 13, 16, 18
12月6日 p43, 1, 2, 3, 4, 6, 7
12月13日 p43, 8, 9, 10, 11, 13
12月20日
p43, 5, 14, 15, 16, 17
2013年春学期
课程II 本科生毕业论文讨论班
授课对象:概率统计专业本科毕业班学生
上课地点:文史楼108(改为理教1418)
上课时间:周二晚上18:40-21:30
教材: Markov Chains and Mixing Times by Levin, Peres and Wilmer, AMS 2009
我的其他时间安排
周一上午:院务会议
周一下午: 预留给概率论报告会
--------------------------------------------------
2012年秋学期教学安排
本学期时间安排
周一下午: 预留给概率论报告会
周二上午: 8:00-10:00 上课
周三上午: 讨论班
下午: 3:00-5:00 答疑时间
周五下午: 3:00-5:00 上课(单周)
课程背景:《随机过程II》是《随机过程论》的后续课,为概率论研究生的专业课。
以前《随机过程论》每周4节课,后来调整为3学分,所以一部分内容需要补讲。
本课程仅限数学色控 研究生选修,欢迎外院系同学旁听!
上课时间:周二12周五78(单)
上课地点:四教402室
考核方式:自选书上练习做题,至少10题,不能抄他人作业,如有雷同表述,两人同时问责扣分
答疑时间: 周三下午3:00-5:00
课程内容和参考书:
I.9月11日-10月9日 算子理论与费勒过程:按照下列书本的第三章前四节内容教授
Thomas Liggett, Continuous Time Markov
Processes, An Introduction,
Graduate Studies in Mathematics Volume 113,
AMS, 2010
II.10月12日 -11月23日 马氏过程的鞅问题解:按照下列书本的第四章§4.3-§4.10内容教授
Stewart Either & Thomas Kurtz, Markov Processes, Characterization and Convergence
Wiley Series in Probability and Statistics 2005
III 11月27日-1月4日 狄氏型, 按照下列书本的第一章内容教授
Zhen-qing Chen & Masatoshi Fukshima,Symmetric Markov Processes, Time Change, and Boundary Theory
London Mathematical Society Monographs, Princeton University Press, 2012
===========================================
2012年暑期课程《概率论九讲》
第一部分:渗流
1.Bernoulli Bond Percolation,临界值p_c的定义,围道方法
2.超临界,无穷开簇的唯一性,p_u的定义,我们相信无穷开簇与原图具有相似的性质
3.次临界,五种指数衰减的估计
第二部分:随机图
4.ER(n, p)的定义,用分枝过程(RIS)和随机游动(RAU)来控制/研究连通分支的大小
5. (a)介绍大偏差,Theorem 2.3.1 (b) 定理2.3.2及证明 (第一步和第二步) (c) 定理2.3.2的证明 (第三步和第四步)
6. (a)§2.5, (b) Theorems 2.2.1 & 2.2.2 & 2.4.1 (c) Thm 2.8.1, Lemma 2.6.1, 公式(2.6.7)
第三部分:复杂网络
7. (a)现实生活中的复杂网络 (b) 几种数学模型 (c) BA模型的度数的幂律分布
8. 两点之间的距离 (a) BA模型(b)NSW模型 (c)CL模型, 2< β <3
9. (a) CHKNS模型(b)简化模型的临界值(c)连通分支顶点数目的商界估计, 对应Durrett书第7章前三节
参考书目:
Geoffrey Grimmett, Percolation, Springer, 最好看第一版
R. Durrett, Random Graph Dynamics, Cambridge
伍鸿熙,致读者的话,《黎曼几何初步》,28年前色控 也在举办暑期色控,正好大陆体育代表团重返奥运会,大家一边看比赛一边议论,有人以对待竞技体育的功利态度对待科研,伍鸿熙对此提出了批评。
---------------------------------------------------------
2010-2011学年第一学期教学安排(2010年秋)
课程: 概率统计
授课对象: 物理色控 二年极
教材: 陈家鼎郑忠国《概率与统计》 色控 出版社 2007
助教: 王晓星
授课时间:周三12节周五(单)78节
地点: 二教102
答疑时间: 周二 & 周四下午2:30-4:30,
地点: 理科一号楼1494
考前答疑: 1月4日, 5日, 6日下午2:30-4:30,
考试时间地点 1月7日下午2点, 二教101
每周作业
12月8日 p.354 15 18 20 28
29 33 40
12月15日 p.428
1 3 5
6 8 10
11
12月22日 p.428 14 15 18 19
12月29日 p509 2 3 4 5 9